为深入了解中国消费行为的变化,我们从宏观趋势演化、中观行业表现和微观个人体验三个层面进行分析,发现中国消费者行为逐渐呈现个性、务实、简约、求质的趋势特征。从宏观角度来看,在社会老龄化和房产市场调整的背景下,中国的消费模式与日本相似,但特征细节更加复杂多样。从东部地区到西部边陲,中国庞大而多样的市场导致了地区间消费偏好存在差异。同时,人工智能和互联网的发展也使得区域间的消费偏好更加紧密地相互渗透。在中观行业层面,随着经济周期的迭代,实证结果显示不同消费行业的表现也在发生变化。在经济调整时期,如食品、医疗健康等必需品消费行业表现出较强韧性。在微观层面,通过问卷调查分析,可以直观地感受消费者的个人偏好在近些年的变化。从稳定的住房支出到对食品饮料的精选,再到减少外出娱乐和增加对健康及个人成长的支出,反映出消费者偏好由“外炫”走向“内愉”的动态演进。对于零售消费企业而言,适应消费者偏好的趋势变化、利用数字技术创造更贴合消费者需求的产品和服务,或将是未来成功的关键。宏观趋势演进:中国消费偏好与90年代末至千禧年后的日本消费偏好存在相似性。基于我们的报告《中国消费“日本化”了吗?》,日本消费的四次变化与经济发展的轨迹高度相关。第一阶段,经济高速增长时期(1950-1970年代初)。在此阶段,日本经历了高速的经济增长,日本居民可支配收入显著提升。伴随房地产市场的兴起,日本耐用消费品(以汽车和家电为代表)支出快速增长。这一时期,日本消费者追求西式的生活方式和消费模式。第二阶段,石油危机时期(1970年代中后期至1980年代初)。两次石油危机对日本经济产生了重大外溢冲击,消费者收入减少,地缘不确定导致社会消费信心下降。这一时期,日本经济开始从高速增长转向稳定增长,消费者的消费行为也变得更加谨慎和理性。第三阶段,泡沫经济时期(1980年代中期至1991年)。在这一时期,空前繁荣的地产和股票市场使得社会财富效应显著放大,消费者信心和消费支出大幅增加,奢侈品消费和高端消费品的需求大增。第四阶段,返璞归真的理性消费(1991-2008年)。随着日本房地产泡沫破灭以及社会老龄化进一步加剧,居民消费能力和消费信心“断崖式”下跌。这一时期,居民更多地追求精神层面的消费。例如,日本娱乐消费支出占比上升,人们的饮食开始转向精致和健康,同时低价商品越来越受到青睐。第五阶段,经济缓慢复苏和新消费崛起(2009年至今)。随着千禧一代和Z世代逐渐成为消费主力,日本社会的消费偏好出现了新的变化。日本年轻人越来越注重内心的归属感和高效的社会关系,偏好地方传统特色和极简主义风格的产品和服务,高奢消费增速放缓。纵观日本消费偏好的历史转变轨迹,从西式到本土品牌的转向(例如,无印良品和优衣库等本土品牌的崛起),从奢侈品牌到优质平价品牌的转移,从大型家庭消费到小型化、个人化消费的趋势,以及从物质消费到精神消费的转变,均反映了消费者对品质、自定义和理性消费的追求。当物质充裕后,人们开始更加重视商品的精神属性,追求“小确幸”。当前,在社会老龄化加速和房地产市场调整的经济周期背景下,中国居民消费行为偏好与日本在90年代至2008年期间存在一定相似性。具体来说,中国居民的消费扩张预期边际放缓,更多的消费者开始追求与当时日本社会相似的简约、务实、求质的消费方式。然而,与日本相比,中国居民的消费偏好呈现的特征更加复杂多样。首先,从市场结构和地理空间来看,中国市场规模和深度远大于日本,这导致中国各区域间(中西部和东部地区、北方与南方地区)消费偏好差异化程度较大。在经济发达的省份(如江浙沪地区),价格因素在效用函数中权重相对较低,人们偏好追求质量和品牌(根据百度指数,东部省份对于品牌的搜索占比普遍高于西部地区);在中部或西部核心城市群(如武汉、成都、长沙等城市)价格因素与品牌效应并举;而在边疆省份(如内蒙古、新疆等)消费偏好更加务实,其中多数消费与生活必需品有关。比如,2022年西藏人均食品烟酒支出占比超过30%(位居全国前列),而教育文娱消费支出占比仅为5%(为全国最低),反映出西部地区消费重心仍在食品等必需品消费。相似地,以哔哩哔哩数据为例,中西部及东北地区美食主播占比超过80%。其次,人工智能和互联网科技快速发展进一步放大中国消费偏好的变化。与90年代的日本不同,当前全球正处在人工智能技术快速迭代的时期,技术变革对中国居民消费偏好的影响具有复杂性。区域间的消费差异正通过互联网和人工智能技术进行传导,使得不同区域间消费场景的感受和体验可以通过互联网与人工智能技术(VR、AR)被消费者快速理解和感知。以近期南方游客去哈尔滨旅行为例,通过大数据精准推送和消费差异场景放大(比如,东北早集、风味小食等消费场景进一步具像化),使得区域间的消费偏好更加紧密地相互渗透。中观行业表现:当经济从扩张走向调整,必需品消费行业韧性凸显。随着经济周期演进,不同消费品行业表现也在发生变化。通过观察大数据并进行一般性的实证检验,可以发现当前经济周期下中国市场消费偏好向必需品消费板块倾斜,符合实证结果呈现的周期性规律。具体来看,我们收集了1949年到2020年期间的29248家在美国上市的公司的约466万条数据,结合国际6位NAICS编码(North American Industry Classification System)进行零售消费行业分类。我们发现,在NBER经济调整期,价格合理和商品种类丰富的一站式零售行业(例如,Catalog Showrooms,General Merchandise Retail)通常表现较好,消费者更倾向于节省支出,寻找折扣和优惠。例如,在1981年、1991年和2001年,这些行业的收益表现都位于消费板块前列。其次,线上消费(例如,电子商务和邮购业),尤其是在2020年表现较好,互联网技术的发展与2019年新冠疫情暴发加剧了消费者线上消费的购物粘性。随着疫情的结束,这种粘性作用依旧较强,尤其是在部分发达国家与新兴市场国家(如中国、韩国、英国、法国等)。以中国为例,各大电商平台进行百亿补贴活动,入驻品牌、参与消费者都同比倍增,为消费者的务实消费提供了更丰富的优质好物。此外,人们对医疗健康的消费支出存在较强韧性,这使得相关行业能够抵御经济增速调整的影响。在NBER经济扩张期,必需品消费中,食品服装零售类行业均表现强劲(如超市和食品杂货店在繁荣期经常排在前列,服装类商店表现同步良好)。此外,家具建材类消费在经济扩张期随着房地产市场的繁荣表现出稳定向上的态势。这些均反映出消费者居民可支配收入和财富效应的提升将显著促进核心必需品(食品、衣饰、住房)消费的提振。基于长期动态的观察,可以发现当经济从扩张走向调整时,必需品消费中,消费者对食品消费、医疗健康支出的刚性较强。然而,消费者对住房消费的需求明显下降,带动建材家电消费趋势放缓。在非必需品消费中,我们发现,长期经济调整中,汽车消费将出现疲弱,奢侈品消费在短期表现稳定但长期将同步放缓。结合中观行业表现的实证规律与后疫情时期的中国实际,我们发现中国消费市场正逐渐向更加个性、务实、简约、求质的消费模式转型,这既有一般性也具有其独特性。从收入端来看,由于经济增速放缓,居民收入面临一定压力,导致消费者更加注重价格和性价比,必需品消费因其韧性而表现稳固。同时,消费者并没有完全放弃对于质量的追求,追求个性化和高质量生活的消费理念也在年轻一代消费者中日益流行,价格合理且质量过硬的商品仍受到消费者欢迎。从消费场景来看,互联网平台的普及和创新技术的应用使得多元化消费场景不断扩张。电子商务平台的发展促进了消费品和服务的多样化。线上购物和线下体验的结合也逐渐成为主流。服务类消费在疫情后快速反弹,尤其是在线教育、远程医疗、居家健身等服务,这些领域因疫情带来的生活方式变化而迅速发展。不仅如此,随着疫情防控措施取消,文旅、演唱会等大型活动领域表现抢眼,显示出消费者对于户外活动和文化娱乐的强烈需求。

图1:1949-2020年部分零售行业收益表现

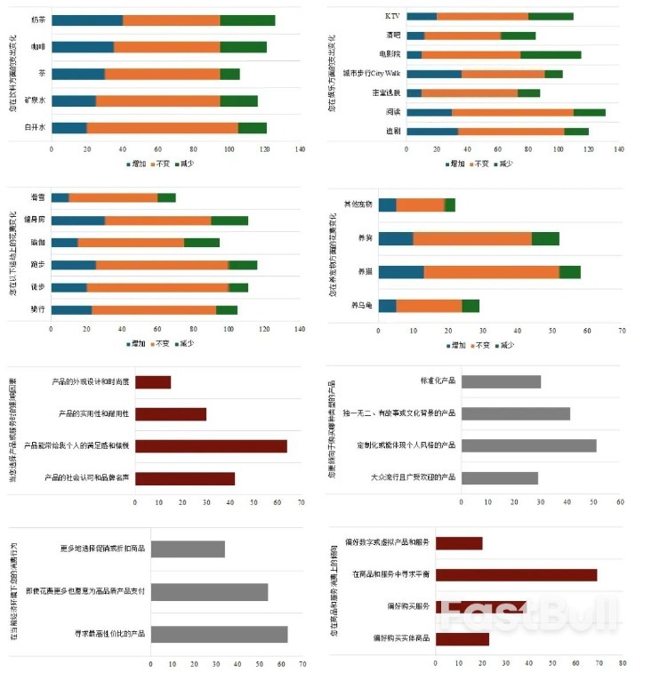
图2:不同经济周期下表现突出的行业微观个体感受:追求个性、务实、简约、求质的消费趋势。通过问卷调查分析,可以直观地了解到消费者的个人偏好和感受。设计的问卷包括两个部分:一是基本人口和社会经济信息;二是2019年前后的消费特征(消费类型、支出的变化),并包括三类问题:第一类是人口统计学信息;第二类问题为定性问题,获取各类消费偏好变化的信息,数据直接用于分析;第三类问题采用李克特量表(Likert scale)来了解个人的关注度。根据151份有效问卷的统计结果,大多数受访者表示,他们基本上保持消费支出稳定。大多数受访者(约71.5%)表示他们的住房支出保持不变,而较小一部分(约17.2%)表示减少了住房支出。这表明在住房领域,人们倾向于维持现状。一个可能的原因是长期租约或房贷的固定性质,使得住房支出变动的空间不大。在食品和饮料消费方面,约半数受访者(51.0%)的支出未变,而增加支出或减少支出的受访者比例相若(分别为25.2%和23.8%)。衣着支出的变化则有明显的减少趋势(29.8%的受访者表示减少支出),或与疫情之后人们外出社交活动的行为模式发生了变化相关,由于没有以前那么高的外出频次,从而减少了与外在表现相关(如衣着)的消费。娱乐和教育领域的支出也显示出一定的减少趋势(30.5%的受访者表示减少),反映了人们可能因为在家时间增多,从而减少了外出娱乐支出。医疗保健领域中,接近三分之一的受访者(29.8%)表示支出增加,反映了人们对健康的关注增加。总体来看,这些数据反映了微观层面消费者在不同领域的支出变化,且与中观零售行业表现数据相互印证。在必需品消费中,医疗健康消费、食品消费被视为相对重要的领域,但对于非必需品的娱乐和教育消费都有着不同程度的削减。

图3:消费支出的变化基于具体支出分项,问卷统计结果呈现了几个显著的趋势。饮料方面,白开水和矿泉水的消费相对稳定,奶茶消费增加的受访者比例(约31.7%)是所有饮料中最高的,咖啡消费增加的受访者比例(约28.9%)同样显著,反映了近年来奶茶、咖啡作为流行饮品的趋势。娱乐活动方面,追剧、阅读的增长颇为可观,相当一部分受访者(约28.3%)表示增加了追剧支出,或与数字媒体平台的内容日益丰富以及受访者偏好花费更多的时间在家有关。同时,约22.9%的受访者表示增加了阅读支出,反映了人们寻求更多内省和个人成长的趋势。不仅如此,大多数人(约61.1%)的阅读支出保持不变,表明阅读是一种持续的个人休闲娱乐习惯。这也与消费者追求内心愉悦的现象相吻合。人们倾向于寻找能给自己带来内心满足和情感共鸣的活动。相比之下,社交互动型(需要多人参与或在发生在公众场合)娱乐活动,如密室逃脱、酒吧、KTV和电影院的消费下降,只有相对较少比例的受访者表示增加了相关支出,大多数受访者维持、甚至降低了需要现场参与的活动的消费支出。健康方面,室外活动逐渐兴起,如骑行、徒步和跑步,显示出了积极的增长趋势。这些活动不仅促进了身体健康,也提供了人与自然亲近的机会,凸显心理健康对于消费者而言愈发重要。同时,这些活动的费用灵活性较大,不仅吸引了装备发烧友,也适合预算有限的人群。相比之下,需要特定设施、环境以及必要装备的运动如瑜伽、健身房和滑雪的支出变化则较为复杂,反映了人们在健康、便利性以及安全性之间权衡的不同选择。最后,宠物养护的趋势有所改变。对宠物的消费支出反映了人们在寻求情感支持和陪伴方面的需求。尽管成本投入在不同宠物间有所差异,但增加宠物项目消费的趋势可能与人们愿意为获得陪伴和情感满足而增加开支有关。特别是对猫狗这两种普遍受欢迎的宠物,支出增加的比例较其他宠物更明显。根据《2022年中国宠物行业白皮书》数据,2022年养猫人群已超过养狗人群。心理学家Marie-Louise von Franz曾指出,猫咪会带着一种高傲的神情告诉人类:它们渴望友谊,但没有也无妨。而消费者在饲养猫咪的时候,或许也正是在释放与猫咪性格相似的部分,即追求独立与注重隐私而不被社会所指责的特性。

表1:消费行为的转变综上,当前经济周期下中国消费者的消费偏好正在发生显著变化,这些变化集中表现为个性、务实、简约、求质的消费趋势。为了更好地提振有效需求,零售消费企业可根据消费者偏好由“外炫”走向“内愉”的动态演进特征,继续进行自我转型升级。利用数字技术创造更贴合消费者需求的产品和服务或将是未来成功的关键。随着数字经济的深入发展,企业适应和利用消费者偏好变化的策略也将不局限于大数据和机器学习的应用(通过大数据和机器学习技术,企业可以深入分析消费者的购买行为、偏好和趋势,实现精准营销和个性化推荐)。更进一步,企业可以利用社交媒体和直播平台,创造并具象化社交购物场景,从而吸引和维护消费者的购物兴趣,也可以帮助企业及时调整市场策略。同时,结合线上和线下的融合体验,企业可以创造无缝购物体验,比如通过实体店内的虚拟试衣间和线上的AR产品展示,或者提供综合化消费门店,让消费者直观体验品牌文化,感受产品在不同场景的应用,从而将体验感受转换成流量认知再转化成购买需求。

图4:消费支出以及偏好的变化文章来源:FT中文网